近日,中国科学院上海天文台观测高能天体物理组研究团队利用硬X射线调制望远镜卫星(“慧眼卫星”)在著名黑洞双星天鹅座X1的软谱态时探测到88mHz的高能准周期振荡信号,相关研究工作已发表在《天体物理学期刊》(Astrophysical Journal)上。
著名的黑洞X射线双星系统——天鹅座X1是上世纪六十年代最早发现的X射线源之一,它由一颗大质量的O型恒星和一个黑洞组成,二者相互绕转,恒星星风物质被黑洞吸积,并从黑洞中持续辐射出较强的X射线,这一特点使它成为少数几个已知的黑洞X射线双星之一。最新的测量结果显示它距离地球大约7200光年,双星系统中的黑洞质量大约21倍太阳质量,是银河系中已知黑洞质量最大的恒星级黑洞,也是银河系中唯一已知的黑洞大质量X射线双星。
“慧眼卫星”是中国第一颗空间X射线天文卫星,覆盖能量范围1--250 keV,是既可以实现宽波段、大视场X射线巡天,能够研究黑洞、中子星等高能天体的短时标光变和宽波段能谱的空间X射线天文望远镜,也是具有高灵敏度的伽马射线暴全天监视仪。升空后的第二天,“慧眼卫星”就对第一目标——天鹅座X-1进行了观测。
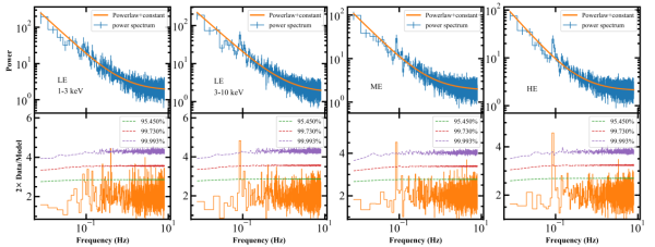
该团队分析了“慧眼卫星”对天鹅座X1的观测数据,在曝光时间最长的一次观测中(约15万秒),“慧眼卫星”的低、中、高能探测器独立显著地探测到一个频率在88mHz的暂现准周期振荡信号。通过对该准周期振荡信号的频率、相干性、幅度以及随能量的变化等性质的研究,研究人员发现,具有大质量恒星的天鹅座X1与银河系中占多数的小质量黑洞X射线双星在低频准周期振荡的性质表现出不同的特征。
值得注意的是,该研究中通过“慧眼卫星”数据探测到的天鹅座X1准周期振荡信号是在软态时发生的,而过去在黑洞双星中发现的准周期振荡信号,大都是在黑洞双星处于硬谱态时探测到的。虽然之前在RXTE卫星时代,人们也曾在天鹅座X1中可能探测到类似准周期振荡信号,但是从未在50keV以上的硬X射线能量范围探测到。因此,该探测结果显示了我国慧眼X射线天文卫星在高能硬X射线的观测优势。
同时,该发现对理解大质量X射线双星中的毫赫兹准周期振荡(频率<100mHz)现象提供了重要线索,可能为揭示包括X射线脉冲星和近邻星系超亮X射线源的吸积模式开辟新的研究方向。与天鹅座X1类似的还有大麦哲伦星云中的大质量黑洞X射线双星LMC X-1。它长期处于软谱态中,科学家们偶尔也能探测到几十毫赫兹左右的准周期振荡。上海天文台研究人员认为,在大麦哲伦星云LMC X-1探测到的准周期振荡很可能和本次在天鹅座X1中探测到的毫赫兹准周期振荡是由同一种机制产生的,且类似的毫赫兹准周期振荡在其他类型的大质量X射线双星中也都发现过,比如大质量X射线双星中的吸积脉冲星和近邻星系中的超亮X射线源。因此,这种发现可能暗示着这种毫赫兹准周期振荡和星风吸积模式有关。

天鹅座X1的艺术想象图(来自NASA/CXC/M.Weiss)

慧眼卫星三个仪器低能、中能和高能探测器对毫赫兹准周期振荡信号的独立探测