上海微系统超导3D纳米桥结的基础研究获进展
发布日期:2023-08-30
来源:中国科学院网
近日,中国科学院上海微系统与信息技术研究所研究员陈垒、王镇带领的研究团队,在超导约瑟夫森结物理与电学表征基础研究领域取得了重要进展。该团队通过微纳加工与测量表征技术相结合,实现了超导3D纳米桥结电流相位关系的精确测量,并揭示了约瑟夫森桥结的电流相位关系随着其几何尺寸缩放的变化规律,为进一步研究超导约瑟夫森结的物理与应用提供了有效的实验与分析表征方法。8月13日,相关研究成果以Geometric Scaling of the Current–Phase Relation of Niobium Nanobridge Junctions为题,发表在ACS Nano上。
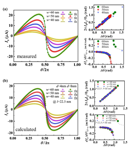
超导约瑟夫森结是构成超导器件与电路的核心基础单元,其电流相位关系(CPR)是决定器件性能的重要因素之一。长期以来,由于相位是一个不可测量的物理量,对于纳米桥结的CPR缺乏准确的描述,限制了纳米桥结在超导器件与电路的实际应用。为了实现超导约瑟夫森结CPR的精确测量与表征,研究团队基于自主开发的超导3D纳米桥结,设计并制备了用于测量CPR的超导约瑟夫森器件,实现了针对不同几何参数的3D纳米桥结CPR的精确测量,发现了桥结的CPR随着结的几何尺寸缩放的变化规律,并通过结合基于Ginzburg-Landau方程仿真结果的对比分析,获取了其等效电学模型和关键电学参数,为探索约瑟夫森结的CPR及其应用奠定了重要的实验与理论基础。
研究工作得到中国科学院战略性先导科技专项、中国科学院青年创新促进会优秀会员项目和国家自然科学基金等的支持。

纳米桥结示意图和CPR参数随桥结几何尺寸变化规律

用于测量纳米桥结CPR的超导器件

纳米桥结CPR测量和仿真结果